Mapeo del talento empresarial: Modelo híbrido basado en la intergración de la matriz nine box y el método multicriterio TOPSIS
Organizational talent mapping: A hybrid model integrating the nine-box matrix and the TOPSIS multicriteria method
Sofía Carla Cortaberría
Universidad Nacional de Córdoba. Facultad de Ciencias Económicas (Argentina)
https://orcid.org/0009-0003-8741-6163
Miguel Ángel Curchod
Universidad Nacional de Córdoba. Facultad de Ciencias Económicas (Argentina)
https://orcid.org/0000-0002-5390-6215
miguel.angel.curchod@unc.edu.ar
RESUMEN
La gestión del talento es una función estratégica y su finalidad es atraer, desarrollar y retener empleados talentosos dentro de una organización. Una de sus prácticas es contar con un mapa de talento permitiendo tener una mirada general de su disponibilidad en la empresa. El objetivo de este trabajo es presentar un modelo integrado para mapear el talento con las herramientas: matriz nine box y TOPSIS (Technique for Order Preference by Similarity to Ideal Solution) buscando mejorar la toma de decisiones vinculadas con su gestión.
La matriz nine box proporciona información visual del talento, utilizando como ejes el desempeño y el potencial. Esta herramienta brinda abundante información, sin embargo es insuficiente para tomar decisiones dentro de una misma categoría. Por eso, se integró el proceso de evaluación aplicando TOPSIS, que permite abordar la resolución de problemas con múltiples alternativas donde se consideran diversos criterios. El método genera un ranking de los empleados proveyendo información valiosa para el análisis y la toma de decisiones dentro de cada caja.
Una vez integradas ambas herramientas, se concluye que las metodologías proporcionan información complementaria. La matriz permite una evaluación categórica, mientras que TOPSIS complementa la clasificación con una jerarquización cardinal dentro de cada caja. Esto permite superar la falta de discriminación en la toma de decisiones al interior de cada grupo ayudando a priorizar dentro de una misma caja.
La integración de ambos métodos se presenta como una alternativa eficaz para gestionar la complejidad y multidimensionalidad de las decisiones vinculadas al talento organizacional.
PALABRAS CLAVE
Apoyo multicriterio a la decisión; Método TOPSIS; Matriz nine box; Mapeo de talento; Talento.
ABSTRACT
Talent management is a strategic function, and its objectives are to attract, develop and retain talented employees at different levels of the organization. One of its practices is to have a talent map allowing a general view of the availability in the company. The aim of this work is to present a hybrid model for talent mapping, based on the integration of the Nine Box matrix and the multicriteria method TOPSIS, to improve decision-making in talent management.
The nine-box matrix provides visual information about talent, using performance and potential as axes. This tool provides abundant information; however, it is insufficient to make decisions within the same category. For this reason, the evaluation process was integrated by applying TOPSIS, which allows for addressing problem resolution with multiple alternatives considering various criteria. The method produces a ranking of employees, providing valuable information for analysis and decision-making within each box.
Once both tools are integrated, it is concluded that the methodologies provide complementary information. The matrix groups employees into each box, while TOPSIS facilitates specific decisions by helping to prioritize within the same box.
We recommend the integrated use of both methods as it is effective in managing the complexity of talent management decisions.
To the best of our knowledge, this is one of the first applications combining both tools for talent management in service-oriented companies in Argentina.
KEYWORDS
Multicriteria decision support; TOPSIS method; Nine box matrix; Talent mapping; Talent.
Clasificación JEL: C02; C44; D81; I13.
MSC2010: 90B50.
1. Introducción
La gestión del talento es una función crítica en las empresas cuya finalidad es atraer, desarrollar y retener empleados talentosos en los distintos niveles de la organización (Hatum, 2011). Existen distintos objetivos y abordajes dentro de esta función estratégica en las compañías y una de las prácticas más frecuentes es contar con un mapa de talento. “Lo más habitual es que el mapa de talento resulte una especie de fotografía en la que se identifica a las personas que están en el lugar correcto, hacen su trabajo de manera sobresaliente y están comprometidos con la organización” (Saracho, 2011, p. 45).
La matriz nine box es una herramienta que permite mapear a los empleados que agregan valor crítico y utilizar esta información como insumo para diseñar planes de desarrollo, reemplazos, planes de sucesión, aumentos salariales, entre otras decisiones que determinan el futuro de los empleados de una organización. La matriz utiliza como ejes centrales el desempeño y el potencial. Ambos componentes se clasifican con una escala de tres grados, resultando, en consecuencia, nueve cajas o boxes para identificar el mapa de talento. A pesar de la riqueza de la información que proporciona para tomar decisiones, la misma resulta escasa cuando se trata de realizar injerencias dentro de una misma caja.
Con el objeto de contar con mayor información se integró el proceso de evaluación con el método TOPSIS. Esta técnica de apoyo a las decisiones multicriterio, permite abordar la resolución de problemas, con múltiples alternativas, en este caso los colaboradores a mapear, donde se deben considerar múltiples puntos de vista o criterios. El método genera un ranking de los colaboradores que completa y complementa el análisis de la matriz y genera información valiosa para el análisis y toma de decisiones dentro de cada caja.
En línea con lo anterior, el trabajo presenta un modelo integrado de mapeo de talento con las herramientas de gestión: matriz nine box y TOPSIS buscando mejorar la toma de decisiones respecto de la gestión del talento. Se destaca que, según la revisión bibliográfica realizada, no se han identificado estudios que articulen ambas herramientas en el ámbito empresarial en Argentina.
2. MARCO TEÓRICO
2.1 Gestión del talento
Según las diferentes acepciones que cita el diccionario de la real academia española se puede concluir que el significado de la palabra talento es inteligencia, actitud y/o persona inteligente o apta para determinada ocupación. Jericó (2008) lo define, de una forma subjetiva, identificando a una persona comprometida que puede poner en práctica sus capacidades para lograr resultados superiores en un entorno y organización determinada, mientras que Hatum (2011) lo asocia al conjunto de habilidades o capacidades que le dan la posibilidad a una persona de desempeñarse en cierta tarea. Asimismo, Saracho (2011) identifica al talento como la característica de aquellos empleados, que sin importar en qué posición de la organización se encuentren, agregan valor crítico o lo harán en un futuro. Aunque existen múltiples definiciones de talento, todas ponen énfasis en el valor que agrega una persona a la empresa donde se desempeña y el poseer alguna actitud, aptitud o capacidad que se lo permite.
Saracho (2011) brinda algunas aclaraciones sobre la definición de talento que son importantes para su gestión:
no es un atributo de las personas sino un concepto, un constructo de significado que realiza cada organización de acuerdo a su visión, su misión, sus valores y sus objetivos estratégicos por lo que el éxito de la gestión de dicho constructo depende, única y exclusivamente, de la claridad con que el concepto de talento sea definido. (Saracho, 2011, p.8)
Además, remarca la necesidad de definir distintos componentes del concepto de talento según la empresa, de forma previa a su gestión.
Chiavenato (2009) sostiene que administrar el talento se convirtió en una actividad indispensable para el éxito de las organizaciones. La gestión de este es, siguiendo a Hatum (2011), una función crítica en las empresas que busca atraer, desarrollar y retener empleados talentosos en los distintos niveles de la organización. “La gestión del talento pone el foco en cómo una organización puede generar y mantener esos recursos a través del capital humano” (Hatum (2011)). Esta función es la encargada de proveer las herramientas necesarias para que los aportes de los empleados sean para contribuir al logro de los objetivos (Vera-Barbosa y Blanco Ariza, 2019). Por lo tanto, es una responsabilidad preguntarse cómo la estructura de la organización o el contexto se ajusta para atraer, desarrollar y retener a las personas talentosas que impactan en el resultado del negocio.
No existe una única forma o modelo. “A través de los años, la gestión del talento ha desarrollado diversos modelos de gestión estratégica de recursos humanos, por lo que resultan muy variados y parcialmente diferentes” (Vera-Barbosa y Blanco Ariza, 2019 p.26). Es por eso, que las empresas u organizaciones desarrollan esta gestión de distinta forma, en línea con sus necesidades, sofisticación y preocupaciones.
Una vez definido el concepto de talento y conceptualizada la gestión, es importante preguntarse el para qué. Una de las varias respuestas puede ser contar con un mapa de talento. “Lo más habitual es que el mapa de talento resulte una especie de fotografía en la que se identifica a las personas que están en el lugar correcto, hacen su trabajo de manera sobresaliente y están comprometidos con la organización” (Saracho, 2011, p. 45). Esta herramienta sirve para tener una mirada general del talento, identificar colaboradores talentosos y utilizarla como insumo para diseñar planes de desarrollo, reemplazos, sucesiones, aumentos salariales, entre otras decisiones que determinen el futuro de los empleados de una organización.
2.2 Matriz nine box
Una de las herramientas para realizar un mapa de talento es la matriz de talento o nine box, que permite tener una mayor claridad de la disponibilidad de talento que existe dentro de una empresa (Cuesta Calderón, 2015).
La matriz nine box o matriz de nueve cajas fue desarrollada por la consultora de herramientas de gestión GE-McKinsey con la finalidad de detectar el talento de los colaboradores y establecer las líneas de acción para que el mismo pueda ser puesto en juego y permita lograr los resultados de la empresa. En este sentido, las organizaciones pueden identificar qué políticas llevar adelante en relación con el desarrollo y la retención del talento identificado (Cuesta Calderón, 2015).
La metodología de construcción de la matriz nine box consiste en graficar sobre el eje de las abscisas el desempeño del empleado en una escala de tres grados y, en el eje de las ordenadas, de igual forma, graficar el potencial de la misma persona evaluada. En consecuencia, queda determinada una matriz de 9 cajas (o cuadrantes) que muestran en forma conjunta los pares ordenados de las variables definidas en los ejes.
El desempeño hace referencia a todo lo que la persona ha realizado en su posición actual (Ferreira da Costa et al., 2019). Saracho (2011) afirma que, generalmente, el desempeño está conformado por dos componentes: los resultados que aporta un empleado al negocio y las competencias puestas en juego para alcanzar los mismos. Esta definición no agota la diversidad de variables que pueden aparecer en el desempeño en una organización, ya que depende de los atributos valorados y como se define su proceso de evaluación.
Silzer y Church (2009) definen el potencial como la promesa o posibilidad que la persona pueda convertirse en algo más de lo que actualmente es. Esta dimensión está orientada a una proyección de futuro de la persona. Existen diversos modelos para evaluar el potencial que tienen en cuenta distintas variables como, por ejemplo, habilidades de liderazgo, movilidad, motivación, flexibilidad, adaptación, capacidad de aprendizaje, compromiso, entre otras. (Lombardo y Eichinger, 2000; Koay, 2006; De Meuse et al., 2008; Silzer y Church, 2010; Jooss, McDonnell y Burbach, 2019)
Es necesario tener presente que no existe un acuerdo generalizado en cómo medir el desempeño y el potencial, las escalas de valor, el ordenamiento de cuadrantes y los criterios de valoración utilizados. Por este motivo, es recomendable definir con precisión estos elementos en cada caso específico.

Nota: Adaptado de Matriz nine box de Ferreira da Costa et al., 2019, p.214
Como se observa en la figura 1, se identifican 3 grupos dentro de la matriz que se asocian a los colores de un semáforo:
•Grupo elite que está conformado por los tres mejores perfiles: 1 (futuro líder), 2 (futura estrella) y 3 (estrella en crecimiento). “Son personas que por alguna razón están más motivadas que otras y marcan la diferencia aportando valor dentro del equipo. Son colaboradores que sobresalen y superan las expectativas cuando se les asigna nuevas tareas” (Cuesta Calderón, 2015, p. 40).
•Grupo futuras promesas que incluye los perfiles: 4 (profesional confiable), 5 (miembro clave) y 6 (enigma). Estos tres perfiles tienen características muy diferentes entre sí. Se identifican como los mejores compañeros para desarrollar a las nuevas incorporaciones o ser mentores de aquellos que están en las etapas iniciales de la carrera laboral (Cuesta Calderón, 2015).
•Grupo talento reducido que incluye los perfiles: 7 (efectivo), 8 (dilema) y 9 (iceberg). “Los que se sitúan en esta esquina de la matriz necesitan mayor estabilidad y una porción extra de formación y motivación para ayudarles a abandonar esas posiciones” (Cuesta Calderón, 2015, p. 42).
Además, para un análisis completo de la matriz, se tienen en cuenta tres niveles de impacto, que también se relacionan con los tres colores del semáforo: alto, medio y bajo que se corresponden respectivamente con verde, amarillo y rojo. El color verde significa que los colaboradores que ocupan estas cajas cumplen con lo esperado para su puesto. El amarillo genera una alerta o aviso sobre las personas que ocupan esas cajas, mientras que el rojo informa sobre problemas o que algo no está funcionando correctamente (Cuesta Calderón, 2015).
Además de la ubicación de cada colaborador, la matriz brinda información para la gestión del talento. A continuación, en la figura 2, se presenta un resumen de las recomendaciones.
Figura 2 Recomendaciones para la gestión del talento

Nota: Adaptado de Matriz nine box de Ferreira da Costa et al., 2019, p.213-214
Los líderes y/o gerentes son los responsables de la evaluación del desempeño y potencial de sus colaboradores. Ellos evalúan de acuerdo con la definición de talento que la organización ha establecido. Posteriormente al proceso de evaluación individual de cada colaborador, se lleva a cabo un espacio de calibración o talent review. Esta última etapa es una mesa redonda que se formaliza entre los líderes y el equipo de talento de recursos humanos con la finalidad de unificar los criterios utilizados y lograr la estandarización de la evaluación. La técnica para la calibración varía según las organizaciones, no obstante; muchas utilizan la matriz nine box para mapear el talento (Ruddy y Anand, 2010). En este espacio es dónde se toman las decisiones de gestión de acuerdo a las recomendaciones y a los recursos disponibles que tiene la compañía. El objetivo final es identificar a un grupo selecto de individuos y proporcionarles recursos y formación especiales para maximizar su aporte, una idea común y extendida en toda la sociedad occidental (Finkelstein, Costanza y Goodwin, 2018).
2.3. El método TOPSIS
Los métodos de análisis multicriterio buscan mejorar la calidad de las decisiones proporcionando objetividad y transparencia al proceso de evaluación. Estos están centrados en ofrecer a los tomadores de decisiones herramientas efectivas que permitan abordar la resolución de problemas, con múltiples alternativas, donde se deben considerar múltiples puntos de vista, con frecuencia contrapuestos (Vincke, 1992).
Existe un elenco muy amplio de técnicas para resolver distintos tipos de situaciones. Éstas se diferencian entre sí por la lógica de funcionamiento y por los mecanismos intrínsecos de resolución que cada una de ellas aplica. La elección para solucionar un problema concreto depende de muchos factores, como, por ejemplo: el tipo de problema a resolver, la cantidad de alternativas, el número de criterios considerados, la disponibilidad de softwares para la resolución, entre otros. En este caso, el método seleccionado fue TOPSIS por las ventajas comparativas que presenta respecto de otros.
TOPSIS permite abordar problemas con un número significativo de alternativas y criterios. El método es relativamente sencillo y su fundamentación matemática es consistente, intuitiva y fácil de entender. Además, no requiere un conocimiento especializado profundo y puede ser implementado sin grandes dificultades por equipos de trabajo, cuya formación específica, no gira alrededor de los métodos cuantitativos.
TOPSIS fue desarrollado por Hsin-Ho Yoon y Chang-Young Hwang y presentado en el artículo titulado “Multiple Attribute Decision Making: An Introduction” publicado en el año 1981.
TOPSIS propone determinar la preferencia de un conjunto finito de alternativas, en este caso los colaboradores a mapear, persiguiendo simultáneamente dos objetivos: la minimización de la distancia euclidiana existente desde cada alternativa del conjunto de elección a una solución ideal positiva (PIS) y, la maximización de la distancia euclidiana existente entre las mismas alternativas a la solución ideal negativa (NIS). De esta manera, se evalúa la proximidad a un punto ideal y, al mismo tiempo, se considera la mayor distancia al punto anti-ideal. Las soluciones PIS y NIS no necesariamente son alternativas observadas, sino que se construyen a partir del mejor y del peor valor, respectivamente, de cada criterio. La simultaneidad para alcanzar los objetivos se substancia a través del cálculo de un índice de similaridad o proximidad relativa.
Desde su presentación a la comunidad científica en 1981, el método TOPSIS ha sido ampliamente utilizado en diferentes áreas del conocimiento. Por ejemplo, en ingeniería y gestión de proyectos, ciencias ambientales para la conservación y protección de recursos naturales (Zhang et al., 2023), economía y finanzas con aplicaciones en evaluación de inversiones, composición de portafolios y mediciones de riesgos (Tsao, 2003), así como en ciencias sociales para la evaluación de políticas públicas (Ardielli, 2019), entre otras áreas del conocimiento.
Para obtener una comprensión completa de esta metodología, se llevaron a cabo una serie de pruebas aplicando diversas opciones de normalización, distintas medidas de distancia y explorando múltiples procedimientos para determinar los pesos relativos (Olson, 2004). Con el objetivo de valorar su competencia, numerosas publicaciones comparan el método TOPSIS con otros métodos, tales como: AHP (Analytic Hierarchy Process), SAW (Simple Additive Weighting) y PROMETHÉE (Preference Ranking Organization for Enrichment Evaluations) (Widianta et al., 2018). Finalmente, es relevante mencionar que aplicaciones más recientes han modificado la versión original del método aplicando matemática difusa (Ceballos et al., 2015). En resumen, se puede afirmar que TOPSIS emerge como una herramienta altamente versátil, capaz de aplicarse en una amplia gama de contextos. Su fortaleza se extiende para resolver problemas en diversos dominios del conocimiento, mejorando la toma de decisiones en situaciones donde múltiples alternativas deben ser evaluadas conforme a una variedad de criterios.
El trabajo de Behzadian et al., (2012) constituye una referencia clave en el estudio del método TOPSIS, al presentar una revisión sistemática de 266 artículos publicados desde el año 2000. Su aporte radica en una clasificación rigurosa por áreas de aplicación, técnicas complementarias, año de publicación y procedencia de los autores, lo que proporciona una visión estructurada del estado del arte y de las tendencias emergentes en el uso de TOPSIS.
El algoritmo se puede explicitar a través de los siguientes pasos:
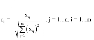
1º Especificación de la matriz de respuestas o matriz de decisión: partiendo de un conjunto X de m alternativas y un conjunto J de n criterios, se construye una matriz X cuyos elementos xij representan las evaluaciones de la alternativa i (i = 1,2,...m) respecto del criterio j (j = 1,2,…n):
(1)

2º Normalización de la matriz de respuestas:
(2)

Donde:
(3)

El procedimiento de normalización utilizado tiene la ventaja de transformar un vector “n” dimensional en otro vector, también de “n” componentes, de norma igual a 1. Cada elemento del nuevo vector representa la valoración adimensional de las alternativas respecto de cada criterio. Es importante señalar que este procedimiento respeta la proporcionalidad y permite la comparación sin dimensión inter e intra-criterios.
3º Determinación del vector de pesos asignando la ponderación que mide la importancia relativa de cada criterio:
(4)

4º Construcción de la matriz normalizada y ponderada:
(5)

(6)

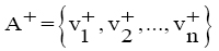
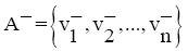
5º Determinación de la solución ideal positiva (PIS) y la solución ideal negativa (NIS). Los valores de PIS y NIS representan los valores extremos del espacio n dimensional asociados a la matriz normalizada y ponderada y se calculan a través de las siguientes expresiones:
(7)

(8)

(9)

(10)

Donde J se corresponde con los criterios de beneficios y J* está asociado a los criterios de costos.
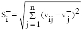
6º Cálculo de las medidas de distancia de cada alternativa i al ideal positivo:
(11)

7º Cálculo de las medidas de distancia de cada alternativa i al ideal negativo:
(12)

8º Cálculo de la proximidad relativa o índice de similaridad (IS), siendo un valor entre 0 y 1:

8º Ordenación de las alternativas: se formaliza el ranking logrando un ordenamiento completo de las alternativas. De acuerdo a los resultados de los cocientes calculados en (13), se determina la preferencia y la posición global de cada alternativa en forma descendiente, siendo la mejor alternativa aquella que se encuentra en el primer lugar. Una alternativa es mejor cuanto mayor sea el IS. La razón es que cuanto más grande sea el IS más próxima está la altermativa al ideal y más alejada está del anti-ideal.
3. APLICACIÓN
El estudio se realizó en una empresa de servicios de alcance nacional (República Argentina). Para esta aplicación se mapeó al personal asignado al departamento de ventas corporativo, conformado por nueve colaboradores y dos líderes directos. Se eligió realizar la aplicación en este equipo, por ser pequeño y representativo del proceso, permitiendo probar la integración de los dos métodos seleccionados y luego escalar el procedimiento a otras áreas más numerosas de la empresa.
En esta compañía, el proceso de evaluación de desempeño es anual e incorpora los resultados y las competencias esperadas para el puesto. Así, los dos componentes de la variable desempeño en la matriz nine box son objetivos y competencias. Estos dos componentes son medidos por medio de una escala cualitativa de cinco niveles: contribución mínima, contribución parcial, contribución significativa, contribución plena y contribución destacada. Para la ubicación de la escala de cinco niveles en los propuestos por la matriz, se agruparon las contribuciones: mínima y parcial en el nivel bajo de la matriz, las contribuciones: significativa y plena en el nivel medio y la contribución destacada en el nivel alto del eje de desempeño, criterio que fue acordado con los responsables del área de talento de recursos humanos de la empresa.
En cambio, para el proceso de evaluación del potencial se cuenta con un modelo propio, ad hoc, sobre la base de tres componentes principales: trayectoria, aspiración y agilidad de aprendizaje. Este último componente, se subdividió en cinco subcomponentes: mental, de resultados, personal, autoconocimiento y de cambio. Todos los componentes son medidos por una escala cualitativa de tres niveles: bajo, medio y alto, que coincide con los tres niveles presentados por la matriz nine box.
Cada empleado evaluado cuenta con información demográfica que se presenta en la tabla 1, junto con datos sobre su desempeño y potencial y de los componentes asociados a cada uno de ellos. En suma, se dispone de los datos correspondientes a once variables: desempeño, objetivos, competencias, potencial, trayectoria, aspiración, agilidad de aprendizaje mental, agilidad de aprendizaje de resultados, agilidad de aprendizaje personal, agilidad de aprendizaje de autoconocimiento y agilidad de aprendizaje de cambio.
Tabla 1 Datos demográficos de los empleados evaluados
|
Identificación |
Género |
Antigüedad |
Edad |
|---|---|---|---|
|
M15-40 |
Mujer |
15 |
40 |
|
H09-32 |
Hombre |
9 |
32 |
|
M08-37 |
Mujer |
8 |
37 |
|
M17-41 |
Mujer |
17 |
41 |
|
H15-37 |
Hombre |
15 |
37 |
|
H09-34 |
Hombre |
9 |
34 |
|
H06-32 |
Hombre |
6 |
32 |
|
M09-33 |
Mujer |
9 |
33 |
|
H09-30 |
Hombre |
9 |
30 |
Para la aplicación de la matriz nine box, se utilizaron las variables desempeño y potencial y se ubicaron los nueve empleados según el criterio acordado.
Tras completar la construcción de la matriz nine box y asignar a cada colaborador a su respectiva caja, según la evaluación de desempeño y potencial; resultó indispensable disponer de una herramienta complementaria. Esta herramienta tenía como objetivo ampliar la visión sobre el talento y discriminar entre aquellos colaboradores categorizados en un mismo grupo (caja). En este contexto, se incorporó al proceso el enfoque multicriterio para la toma de decisiones, lo que permitió un análisis más exhaustivo y preciso.
Para la aplicación de TOPSIS, se utilizaron los siguientes criterios: objetivos y competencias, del desempeño; y trayectoria, aspiración, agilidad de aprendizaje mental, agilidad de aprendizaje de resultados, agilidad de aprendizaje personal, agilidad de aprendizaje de autoconocimiento y agilidad de aprendizaje de cambio, del potencial. En la tabla 2, se pueden observar los valores de la evaluación de los distintos componentes del desempeño y en la tabla 3 los correspondientes al potencial.
Tabla 2 Evaluación del desempeño
|
Componentes Identificación |
DESEMPEÑO |
|
|---|---|---|
|
Objetivos |
Competencias |
|
|
M15-40 |
5 |
5 |
|
H09-32 |
4 |
4 |
|
M08-37 |
5 |
5 |
|
M17-41 |
5 |
4 |
|
H15-37 |
4 |
4 |
|
H09-34 |
5 |
5 |
|
H06-32 |
4 |
2 |
|
M09-33 |
4 |
4 |
|
H09-30 |
4 |
2 |
Tabla 3 Evaluación del potencial
|
Componentes Identificación |
POTENCIAL |
||||||
|---|---|---|---|---|---|---|---|
|
Aspiración |
Trayectoria |
A) Mental |
A) Resultados |
A) Personal |
A) Autocono-cimiento |
A) Cambio |
|
|
M15-40 |
1 |
1 |
2 |
3 |
3 |
2 |
2 |
|
H09-32 |
1 |
1 |
3 |
3 |
3 |
2 |
3 |
|
M08-37 |
1 |
2 |
3 |
3 |
3 |
3 |
3 |
|
M17-41 |
1 |
1 |
3 |
2 |
3 |
2 |
2 |
|
H15-37 |
2 |
1 |
3 |
2 |
3 |
2 |
2 |
|
H09-34 |
2 |
1 |
3 |
3 |
3 |
3 |
2 |
|
H06-32 |
1 |
1 |
2 |
2 |
3 |
3 |
2 |
|
M09-33 |
1 |
1 |
2 |
2 |
3 |
2 |
2 |
|
H09-30 |
1 |
1 |
1 |
2 |
2 |
1 |
1 |
Para operar los juicios expresados en términos lingüísticos, se utilizó un proceso de asignación de valores numéricos a cada etiqueta, siguiendo una lógica ordinal y conservando la coherencia en la interpretación de las diferencias entre niveles. Este procedimiento, si bien conlleva cierta arbitrariedad, permite construir criterios utilizables en modelos multicriterio, respetando el principio de transparencia y simplicidad recomendado por Bouyssou (1990). En línea con su enfoque, se asignaron valores que reflejan una transformación monotónica de las categorías cualitativas, asegurando que las comparaciones entre alternativas fueran comprensibles y aceptables para los actores involucrados.
Siguiendo con la lógica de la matriz nine box y resguardando la coherencia de ambas herramientas, se decidió distribuir el 50 % del peso a desempeño y el otro 50 % a potencial. Para la asignación de los pesos finales para cada variable, se asignó el peso relativo uniforme medio, por lo que objetivos y competencias pesaron 25 % cada uno y para el resto de las variables, el peso asignado fue de 7,14 %. La razón de asignar pesos relativos uniformes por categorías y subcategorías fue acordada con el equipo de talento de recursos humanos de la empresa para lograr que la evaluación sea equitativa y transparente, no asignando de forma subjetiva, a ninguna categoría o subcategoría, mayor o menor ponderación.
4. RESULTADOS
En primer lugar, se muestran los resultados de ambas herramientas por separado. En la figura 3, se presenta la matriz nine box con todos los colaboradores mapeados.
Figura 3 Resultados de la Matriz 9-box

Se observa que hay cuatro cajas que no tienen empleados asignados: 1 (futuro líder), 2 (estrella en crecimiento), 6 (enigma) y 8 (dilema). El 33 % de los colaboradores se encuentra mapeado en el grupo de talento reducido, el 44 % en el grupo de futuras promesas y solo el 22 % en el grupo elite.
En la tabla 4, se presenta el resultado obtenido en el índice de similaridad de TOPSIS y la posición de cada empleado en el ranking generado.
|
Colaborador |
Índice de similaridad |
Posición |
|---|---|---|
|
M08-37 |
0,8118 |
1 |
|
H09-34 |
0,7593 |
2 |
|
M15-40 |
0,676 |
3 |
|
M17-41 |
0,5731 |
4 |
|
H09-32 |
0,5726 |
5 |
|
H15-37 |
0,5705 |
6 |
|
M09-33 |
0,5106 |
7 |
|
H06-32 |
0,2687 |
8 |
|
H09-30 |
0 |
9 |
Una vez presentado el análisis de la matriz nine box y TOPSIS por separado, se muestran los resultados de la integración de las herramientas en la figura 4.
Figura 4 Resultados de la integración de ambas herramientas

La figura presenta los nueve colaboradores ubicados en cada caja y rankeados dentro de cada una a partir del índice de similaridad de TOPSIS, observándose una coherencia y complementariedad entre ambas herramientas.
Respecto a la coherencia, al analizar al interior de cada caja, se observa que a medida que aumenta la importancia de la caja en el mapeo, aumenta el valor del índice de similaridad de cada colaborador. Por ejemplo, los empleados H06-32 y H09-30, ambos mapeados en la caja 9 (iceberg), presentan los índices de similaridad más bajos: 0,2687 y 0,0000 respectivamente. En cambio, los colaboradores ubicados en la caja 2 (futura estrella) presentan los valores del índice más altos del ranking: 0,8118 para el colaborador identificado con el código M08-37 y 0,7593 para el H09-34. Además, el índice de similaridad brinda una idea de lo cerca que se encuentra un colaborador del ideal y lo lejos del anti ideal.
En relación con la complementariedad, la posibilidad de tener un ordenamiento cardinal de los colaboradores por medio del ranking dentro de cada caja, permitiendo la toma de decisiones al interior de cada una con un criterio objetivo ante escasez de recursos. Esta información fue muy valiosa en el talent review donde se decidió la asignación de recursos para el desarrollo específico de algunos de los colaboradores en vez de asignar el presupuesto uniformemente.
A partir de la información brindada por la integración de las herramientas, los líderes que participaron del talent review manifestaron que fue de gran valor la información cuantitativa obtenida por el índice y prestaron especial atención a las diferencias que se daban en cada colaborador, utilizando ese valor para la toma de decisiones de gestión del talento Por ejemplo, el colaborador H09-32 presenta un índice de 0,5726 y está ubicado en la caja 5 (miembro clave), mientras que el empleado H17-41 tiene un índice de 0,5731 y se encuentra en la caja 4 (profesional confiable). Esta diferencia tan pequeña pone en especial interés la posibilidad de desarrollo del colaborador H09-32 y se asignaron mayor cantidad de recursos para acompañar una mejora en su desempeño, proyectando que, dentro de un año, para la próxima evaluación, esa persona podría estar ubicada en la caja 2 (futura estrella), mejorando considerablemente el mapa de talento de este equipo en particular.
A partir de los resultados obtenidos, se valora la utilidad de integrar ambas herramientas. Se proyecta escalar su aplicación a equipos más numerosos. Posiblemente, al trabajar con grupos más grandes, más personas quedarán mapeadas dentro de cada caja lo que potenciará la utilidad y valor del índice, facilitando y simplificando la toma de decisiones en la gestión del talento.
6. CONCLUSIONES
La gestión del talento es una función estratégica fundamental que las empresas deben desarrollar en la actualidad. Una de sus finalidades es identificar a los colaboradores que agregan valor en el presente o que potencialmente lo harán en el futuro. Para llevar a cabo esta gestión de manera efectiva, se deben utilizar herramientas idóneas que faciliten, simultáneamente, la planeación estratégica y la toma de decisiones respecto de los empleados de la organización. El mapeo de talento emerge como práctica crucial que permite conocer la disponibilidad de talento dentro de la empresa y establecer líneas de acción y medidas de intervención correspondientes.
En este trabajo se buscó mejorar la toma de decisiones dentro de esta función estratégica a través de la integración de dos herramientas con el objetivo de proponer un proceso estructurado para su aplicación sistemática. La matriz nine box permitió agrupar a los empleados en un mapa de talento, identificando categorías y proporcionando una visión integral y resumida del talento presente en la organización. Este aporte es sustancial para realizar intervenciones globales y para diseñar políticas generales de capacitación y entrenamiento. Complementariamente, TOPSIS generó un ranking y un ordenamiento completo de los colaboradores, proporcionando información cuantitativa para respaldar la toma de decisiones. El aporte específico de esta herramienta es que permite tomar decisiones concretas e individuales respecto de cada uno de los colaboradores ubicados en cada caja. En situaciones de escasez de recursos u oportunidades el método es una ayuda para establecer prioridades.
La integración de ambas herramientas en el mapa de talento permite concluir que las metodologías utilizadas aportan información complementaria. La aplicación de métodos multicriterio ayuda a manejar la complejidad en las decisiones y a equilibrar las perspectivas divergentes, favoreciendo el consenso en la evaluación por medio de un índice cuantitativo y objetivo. La conjunción de ambos métodos resulta eficaz para gestionar la complejidad de las decisiones que involucran al personal de la empresa logrando un equilibrio ecuánime en las perspectivas divergentes.
Para finalizar, se concluye que ningún método es estrictamente dominante sobre el otro; cada uno realiza importantes aportes, recomendando la integración de ellos.
A modo de cierre, se reconoce que una de las principales limitaciones de este estudio radica en que, el concepto de talento no es universal, sino que constituye un constructo que cada organización define según su cultura, objetivos y contexto particular. En consecuencia, la integración de herramientas propuesta en este trabajo requiere ser adaptada a la definición específica de talento adoptada por cada empresa.
Como línea de investigación futura, se propone avanzar en la validación del modelo integrado aplicándolo en contextos organizacionales más amplios, logrando mapas de talento, más complejos, con una mayor cantidad de empleados. Asimismo, resulta pertinente explorar la incorporación de otros métodos multicriterio en otras fases de la gestión del talento, tales como la identificación de perfiles estratégicos, los procesos de promoción, o la asignación de reconocimientos y beneficios, con el fin de fortalecer la objetividad y la eficacia en la toma de decisiones organizacionales.
REFERENCIAS
(2019). Use of TOPSIS method for assessing of good governance in european union countries. Review of Economic Perspectives. 19 (3), 211-231. DOI: 10.2478/revecp-2019-0012
, , , y (2012). A state-of the-art survey of TOPSIS applications. Expert Systems with Applications, 39(17), 13051–13069. https://doi.org/10.1016/j.eswa.2012.05.056
(1990). Building criteria: A prerequisite for MCDA. En C. A. Bana e Costa (Ed.), Readings in Multiple Criteria Decision Aid (pp. 59–80). Springer-Verlag. Berlín, Heidelberg.
, , , , , , y (2015). Una comparativa de modelos de decisión multi-criterio difusos. En Actas de la XVI Conferencia CAEPIA (pp. 459-469).
(2009). Gestión del talento humano. Ciudad de México, México: Tercera Edición, Editorial Mc Graw.
(2015). Proceso de gestión del talento en la unidad financiera del grupo industrial Graiman. (Tesis de Maestría). Universidad de Azuay. Ecuador.
, , y (2008). Using learning agility to identify high potential around the world. Korn/Ferry Institute, 1-22.
, , y (2019). Plan de sucesión de personas en empresas del sector financiero en Brasil. Revista de Ciencias Sociales (Ve), 24 (4), 209-219.
, y (2018). Do your high potentials have potential? The impact of individual differences and designation on leader success. Personnel Psychology, 71(1), 3-22.
, y (2019) Talent designation in practice: an equation of high potential, performance and mobility. International Journal of Human Resource Management, 32(21), 4551-4577.
(2011). El futuro del talento. Gestión del talento para sobrevivir la crisis. Buenos Aires, Argentina: Editorial Temas.
(2008). La nueva gestión del talento. Construyendo compromiso. Madrid, España: Pearson Educación.
(2006). Succession planning and identifying high potential talent. The Cornell Center for Advanced Human Resource Studies (CAHRS). Recuperado de https://docplayer.net/1317674-Succession-planning-and-identifying-high-potential-talent.html.
y (2000). High potentials as high learners. Human Resource Management, 39(4), 321-329.
(2004). Comparison of weights in TOPSIS models. Mathematical and Computer Modelling, 40(7-8), 721-727.
y (2010). Managing talent in global organizations. En Silzer, R. y Dowell, B. E. (2010). Strategy-driven talent management: A leadership imperative (pp. 549-593). San Francisco, EEUU: Jossey-Bass.
(2011). Talento organizacional. Real Editores, Santiago de Chile, Chile.
y (2009). The pearls and perils of identifying potential. Industrial and Organizational Psychology, 2(4), 377-412.
y (2010). Identifying and assessing high-potential talent: Current organizational practices. En Silzer, R. y Dowell, B. E. (2010). Strategy-driven talent management: A leadership imperative (pp. 213-280). San Francisco, EEUU: Jossey-Bass.
(2003). Evaluating investment values of stocks using a fuzzy TOPSIS approach. Journal of Information and Optimization Sciences, 24(2), 373-396.
y (2019). Modelo para la gestión del talento humano en las pymes del sector servicios de Barranquilla, Colombia. Innovar, 29 (74), 25-44.
(1992) Decision Aid. John Wiley & Sons Ltd. Inglaterra.
, , , y (2018). Comparison of multi-criteria decision support methods (AHP, TOPSIS, SAW & PROMENTHEE) for employee placement. In Journal of Physics: Conference Series, 953.
y (1981). Multiple Criteria Attribute Decision Making: An Introduction. Sage University Paper Series on Quantitative Applications in the Social Sciences, 07-104. Thousand Oaks, CA: Sages.
, , , , y (2023). The impact of agricultural international trade on agro-ecological environment based on TOPSIS model. Applied Mathematics and Nonlinear Sciences, 8(2), 1931-1940.