
Ariadna Garcia-Prado, Universidad Pública de Navarra; Paula González, Universidad Pablo de Olavide y Yolanda Rebollo Sanz, Universidad Pablo de Olavide
El 11 de marzo de 2020, la Organización Mundial de la Salud declaró la pandemia de covid-19. Ante el aumento de contagios y muertes, muchos países se sumaron a la estrategia de la ciudad china de Wuhan, epicentro de la enfermedad, de aplicar políticas de confinamientos parciales o totales para detener la propagación del virus.
En España sufrimos uno de los confinamientos más estrictos del mundo. Solo estaba permitido ir al supermercado, al banco y a la farmacia. Los niños no salieron a la calle durante 58 días. Los adultos no pudimos salir a hacer ejercicio físico, como sí ocurrió en otros países. Nunca nos habíamos enfrentado a algo así. Fue muy duro.
Una amiga nos llamaba casi a diario, preguntándonos por qué los niños no podían salir y los perros sí. Otros días se cuestionaba por qué a nosotras, población en edad activa, no se nos permitía ir a trabajar. Y se exaltaba diciendo que íbamos a enloquecer encerrados en apartamentos pequeños, sin terraza, conviviendo 24 horas con nuestros hijos pequeños. ¡Estaba al borde de un ataque de nervios!
En su opinión, no tenía sentido aislar a todos. A los mayores y a los más vulnerables al virus sí, pero no a todos. No era la única que pensaba así. En esos días, circularon vídeos de jóvenes pidiendo que se confinase solo a los ancianos. No tuvieron muy buena acogida porque lo pedían de modo despectivo. ¿De verdad podía ser esa una solución efectiva y, además, moralmente aceptable?
¿Por qué empeoró la salud mental?
Tras el confinamiento, empezaron a surgir noticias de que la salud mental de la población había empeorado notablemente desde el inicio de la pandemia. Pero prácticamente no se investigaban sus causas. ¿Se debió al miedo a la enfermedad y al contagio? ¿A la inestabilidad laboral que se había generado? ¿A la sobrecarga del sistema de salud? ¿O fue provocado directamente por el encierro y el distanciamiento social?
Nosotras, como economistas de la salud, sentimos que nuestra obligación era profundizar en el entendimiento de este deterioro mental. Y decidimos centrarnos en el colectivo de los adultos mayores de 50 años, para los cuales apenas existían estudios, a pesar de que la Organización Mundial de la Salud lo consideraba un grupo altamente vulnerable al aislamiento social.
Nuestros datos
Para realizar la investigación, basada en una muestra de 40 501 individuos procedentes de 16 países europeos e Israel, combinamos tres fuentes de datos.
En primer lugar, utilizamos los indicadores gubernamentales de respuesta a la pandemia proporcionados por la Oxford COVID-19 Government Response Tracker. Nos centramos exclusivamente en aquellos indicadores orientados a restringir la movilidad y el contacto social. De este modo, construimos un índice que nos permitió clasificar a los 17 países en función de la dureza de las medidas.

‘Lockdown strictness and mental health effects among older populations in Europe’. Economics & Human Biology. Abril de 2002.
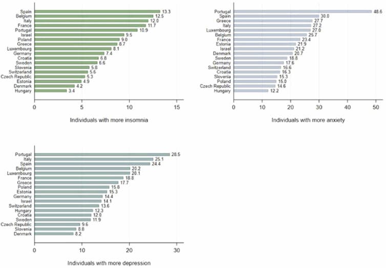
En segundo lugar, el cuestionario covid-19 de la Encuesta de Salud, Envejecimiento y Jubilación en Europa (SHARE) nos permitió identificar a los individuos que reportaron haber sufrido un empeoramiento de su salud mental tras la irrupción de la pandemia. Así constatamos que un 9,9 %, 23,1 % y 18,7 % de los individuos habían experimentado más problemas de insomnio, ansiedad y depresión, respectivamente. Observamos, además, que existe gran variabilidad entre países.

‘Lockdown strictness and mental health effects among older populations in Europe’. Economics & Human Biology. Abril de 2002.
Por último, los datos de la SHARE del año 2015 nos sirvieron para medir la frecuencia con la que los mayores de 50 años se relacionaban cara a cara antes de la pandemia.
¿Fue el confinamiento la causa del deterioro?
Para entender qué parte del empeoramiento en la salud de la población mayor en Europa fue causada por la dureza de las restricciones a la movilidad, y no por otros factores, adoptamos un enfoque causal basado en un modelo de dobles diferencias. En nuestras estimaciones controlamos, además, otras características observadas de los individuos tales como su edad, género, o salud física.
Los resultados confirman que, efectivamente, el aislamiento impuesto perjudicó la salud mental de los mayores de 50 años. En concreto, la incidencia del insomnio, la ansiedad y la depresión aumentó en un 74,6 %, 39,5 % y 36,4 % respectivamente, como consecuencia directa de un confinamiento estricto.
Estas cifras no cambian cuando incluimos otras variables que también pueden afectar a la salud mental, tales como la exposición al coronavirus de los individuos encuestados (por ejemplo, el número de familiares cercanos contagiados) y la incidencia global de la enfermedad en sus países de residencia.

Las mujeres y la franja de edad de 50 a 65 años, entre los más perjudicados
También era importante averiguar cómo afectó el confinamiento a los distintos subgrupos de la población –en función del sexo, la edad, etcétera–, y obtuvimos cuatro resultados:
- El colectivo de mujeres fue claramente el más perjudicado.
- Los individuos que reportaron tener buena salud física antes del encierro también vieron más afectada su salud mental.
- Las personas de 50 a 65 años fueron las que sufrieron un empeoramiento más acusado, frente a los de 65 a 75 años y a los mayores de 75.
- En todos los grupos de edad y sexo los individuos que vivían solos fueron los más perjudicados por el encierro obligatorio.
¿Son deseables los confinamientos selectivos?
Países como España e Italia consideraron la posibilidad de establecer confinamientos selectivos y optaron, finalmente, por confinar a toda la población. Otros países, como Turquía, Rusia o Filipinas, solo impusieron el aislamiento a los mayores de 65 años y/o a aquellos con problemas de salud.
Los resultados de nuestra investigación sugieren que sería interesante, ante futuras pandemias, adoptar medidas por grupos de población, confinando a la gente de más edad y con peor salud o más susceptible a enfermar gravemente. Además, tal y como enfatizaban recientemente Daron Acemoglu, Victor Chernozhukov, Iván Werning y Michael D. Whinston, un confinamiento selectivo podría aliviar las pérdidas económicas de encerrar en sus casas a toda la población.
Así que, después de todo, parece que nuestra amiga tenía razón: quizás la mejor solución, tanto en términos económicos como de salud mental, hubiera sido confinar solo a los mayores de 65 y a la población más vulnerable a enfermar gravemente por covid-19. Es evidente que para que este tipo de medida sea moralmente aceptable debe venir acompañada de un buen paquete de medidas de apoyo a la salud mental y al bienestar psicosocial del colectivo confinado.
Ariadna Garcia-Prado, Profesora Titular del Departamento de Economía (UPNA): Economía de la Salud; Economía de la Pobreza; Desarrollo Económico, Universidad Pública de Navarra; Paula González, Catedrática de Economía, Universidad Pablo de Olavide y Yolanda Rebollo Sanz, Profesora Titular de Economia, Universidad Pablo de Olavide
Este artículo fue publicado originalmente en The Conversation. Lea el original.![]()

